래몽래인 상장일이 올해 마지막 IPO 상장주가 될 것 같습니다. 2021년에는 IPO의 성수기다 라는 느낌이 들 정도였는데요. 주식 장이 활발해지면서 공모주 시장의 관심과 인기 또한 높아져서 대형 공모주도 많이 등장했었는데요. 2022년을 기대하며 2021년을 장식하는 마지막 종목의 상승을 기대해봐도 될 것 같습니다.
1. 래몽래인 상장일
래몽래인의 상장일은 12월 30일입니다. 12월 31일이 마지막 날이지만, 이날은 주식장이 휴장 합니다. 그렇기에 래몽래인 상장일은 2021년 국내 주식 장의 마지막 날이 됩니다. 과연 주가 상승을 이끌지가 관건인데요. 래몽래인 공모주 경쟁률 결과, 유통가능 물량 등을 한번 살펴보겠습니다.

래몽래인 상장 가격은 15,000이고 시초가가 공모가의 200%에서 형성된다면 3만원, 거기에 상을 가면 39,000원으로 약 1주당 24,000원의 수익이 발생합니다. 지금의 분위기로는 따상에 갈 것 같은데 최근 시장은 변동성크고 유통물량도 많은 편이어서 예측이 어렵습니다.
2. 래몽래인 경쟁률, 균등배정 수량
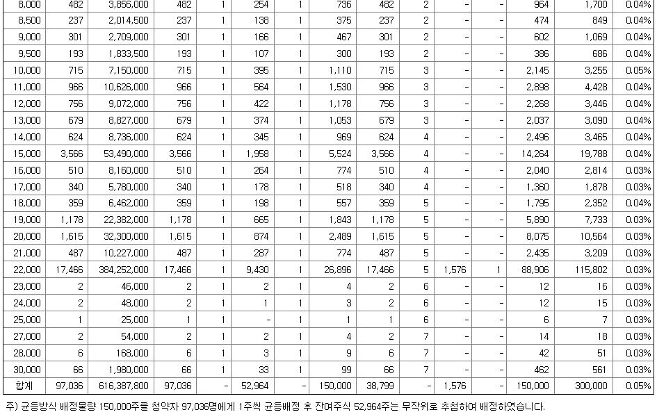
래몽래인 경쟁률은 약 2054대 1의 기록을 세웠습니다. 수요예측 경쟁률 보다도 높은 경쟁률을 보였습니다. 비례 배정은 이것의 약 두배로 4019.25대 1의 경쟁률이 예상되었는데요. 청약 총건수는 97036건으로 균등 배정은 1주 이상은 받을 수 있던 것으로 보입니다

총수량은 120만 주, 그중 일반투자자 물량은 30만 주입니다.

청약 배정 현황을 살펴보면 1500주부터 비례배정의 1주를 받을 수 있었습니다. 1500주부터 2~3주 배정을 받을 수 있었습니다.

균등배정물량은 97036명에게 균등으로 주어지고 잔여주식은 무작위로 추첨하였는데요. 약 1.5의 비율입니다. 1~2주 배정을 받으셨을 것 같습니다.
3. 래몽래인 기관 의무보유확약

의무보유확약은 기관의 내 34.69%입니다. 전체 주식 물량에서는 5% 정도 차지하게 됩니다. 이 물량을 제외하고 587,776주는 모두 시장에 나올 수 있는 기관의 물량입니다.

4. 래몽래인 상장일 유통물량

래몽래인 상장일 유통물량 중 공모주는 887,776주입니다. 그 중 기관이 아닌 일반 청약자의 수량은 300,000주입니다. 그 외에는 27.63%의 물량이 있습니다. 공모주 수량보다 더 많은 양이기 때문에 이 물량이 한꺼번에 나온다면 주가가 흐를 가능성도 있는데요. 주가 전망은 아래에서 더 얘기해보겠습니다.
5.래몽래인 상장일 주가전망

코넥스 이전 상장의 경우 상장일 주가 흐름이 좋았던 종목이 없습니다. 기존 주주의 물량이 많기 때문이기도 한 것 같은데요. 현재 코넥스의 래몽래인 주가는 28,200원으로 주가의 공모가보다는 높습니다. 코넥스의 현 시세를 따라가기만 한다면 이번 IPO상장시에 주가의 상승을 기대해볼 수 있지 않을까 싶습니다만 코넥스의 시세로 상장일 시세를 전망하기엔 위험성이 높습니다.

다만 긍정적으로 기대하는 점은 위지윅스튜디오가 20.17%의 지분을 가지고 있다는 점인데요. 위지윅은 컴투스의 자회사로 이번에 이정재와 정우성이 운영하던 '아티스트 컴퍼니'를 인수하면서 또 한번 주가 상승을 이뤘습니다. 최근 메타버스와 엔터테인먼트 컨텐츠 사업이 주목을 받고 성장하고 있는 가운데, 래몽래인이 이 추세를 같이 한다면 주가가 상승할 여력이 있다고 생각됩니다.
다만 기관의 의무보유확약이 나오는 구간을 조심해야하며, 상장일 당시 주가 상승폭이 큰 경우, 하락 횡보하는 기간이 있을 수 있음을 기억하고 접근하시는 것이 좋을 것 같습니다.
'주식정보' 카테고리의 다른 글
| 고요의바다 관련주 핵심만 (0) | 2021.12.27 |
|---|---|
| 2021년 12월 24일 상한가 종목 상승 이유 정리 (0) | 2021.12.26 |
| BYC 상한가 이유, 트러스톤자산운용은 왜 ? (0) | 2021.12.24 |
| 래몽래인 수요예측 결과 글쎄? (0) | 2021.12.20 |
| 미래에셋증권 비대면 계좌개설 이벤트 (0) | 2021.12.17 |
댓글